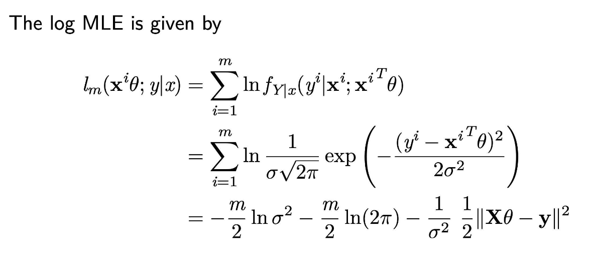
MLE / 最大似然估计 似然: 参数是 θ,而 x 给定 我们需要找到符合的 θ 使得 θ=argmaxθ^lnLm(θ;x1,…,xm) Trick: log - 单调递增,不影响单调性 log-concave 对数凹函数 logf(αx+(1−α)y)≥αlogf(x)+(1−α)logf(y) 一元高斯分布:已知方差 σ2 未知 μ 最大化 lm 就是最小化 ∣∣Xθ−y∣∣2 MAE MSE vs MAE MSE: ε2 - 敏感,对 outliers 学习突出 MAE: ∣ε∣ 在数值大的时候差值大