跳表
-
跳表是 Redis 数据库 Zset 对象的底层实现,优势是能支持平均 复杂度的节点查找
-
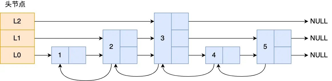
跳表的基础是一个有序链表,最底层包含所有节点。
-
在此基础上,增加多层索引层。每一层都是上一层的“稀疏版本”,也就是说,只有部分节点会被随机提升到更高的层。
-
例如,最底层可能是 [1, 2, 3, 4, 5],而第一层索引可能是 [2, 3, 5],第二层可能是 [3,]。

算法
假设为升序,以 Zset 的跳表实现为例:
数据结构
typedef struct zskiplistNode {
//Zset 对象的元素值
sds ele;
//元素权重值
double score;
//后向指针
struct zskiplistNode *backward;
//节点的level数组,保存每层上的前向指针和跨度
struct zskiplistLevel {
struct zskiplistNode *forward;
unsigned long span;
} level[];
} zskiplistNode;跳表节点结构包含了
- 值
- 权重
- 后向指针
- Level 数组:每一个元素代表跳表的一层
zskiplistLevel结构体里定义了「指向下一个跳表节点的指针」和「跨度」,跨度用来记录两个节点之间的距离。

typedef struct zskiplist {
struct zskiplistNode *header, *tail;
unsigned long length;
int level;
} zskiplist;跳表结构里包含了:
- 跳表的头尾节点,便于在O(1)时间复杂度内访问跳表的头节点和尾节点;
- 跳表的长度,便于在O(1)时间复杂度获取跳表节点的数量;
- 跳表的最大层数,便于在O(1)时间复杂度获取跳表中层高最大的那个节点的层数量;
Ref: xiaolincoding, leetcode 1206